Площадь прямоугольного треугольника

Онлайн калькулятор "Площадь прямоугольного треугольника по катетам" - это удобный инструмент, который позволяет быстро и легко рассчитать площадь прямоугольного треугольника на основе известных значений его катетов. Этот калькулятор особенно полезен для людей, которые занимаются геометрией, строительством, архитектурой и другими областями, где необходимо рассчитывать площадь треугольника. Для использования калькулятора онлайн "Площадь прямоугольного треугольника по катетам" необходимо ввести длину обоих катетов треугольника. После ввода значений в соответствующие поля калькулятора, нажмите кнопку "Рассчитать", и он выдаст результат - площадь треугольника в единицах измерения, которые вы указали.
Этот онлайн-калькулятор предлагает несколько различных единиц измерения для площади треугольника, таких как квадратные метры, квадратные футы, квадратные дюймы и другие. Это позволяет выбирать удобные единицы измерения для конкретных задач. Калькулятор "Площадь прямоугольного треугольника по катетам" может быть полезен для людей, которые занимаются строительством, ремонтом или архитектурой, и которые должны рассчитывать площадь стен, полов, крыш и других поверхностей. Он также может быть полезен для школьников и студентов, которые изучают геометрию и должны рассчитывать площадь треугольника по известным катетам.

Как найти площадь прямоугольного треугольника:

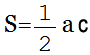
Определение : площадь прямоугольного треугольника равна произведению двух его катетов деленное на 2.
Формула площади прямоугольного треугольника: формула Площадь прямоугольного треугольника
Найти чему равна площадь прямоугольного треугольника с помощью онлайн калькулятора.
Площадь прямоугольного треугольника

Вычислить площадь прямоугольного треугольника

Катет a
Катет c
Результат
Объявление: Поддержите наш сайт!

Онлайн-калькулятор "Площадь прямоугольного треугольника по катетам" является полезным инструментом, который позволяет рассчитывать площадь треугольника без необходимости использовать формулу Пифагора. Он помогает сократить время и упростить процесс рассчета площади треугольника. В целом, онлайн-калькулятор "Площадь прямоугольного треугольника" - это удобный и полезный инструмент для рассчета площади треугольника.

Комментарии


Добавить коммментарий

Похожие записи:

Площадь равнобедренного треугольника
Расход топлива
Калькулятор расчета налогов в Чехии 2023